Tuesday, September 22, 2015

Flowchart

Pengertian Flowchart

Kegunaan Flowchart

Pembuatan Flowchart

Pembuatan Flowchart

Jenis-jenis Flowchart

Flowchart Sistem

Flowchart Paperwork

Contoh Flowchart Paperwork

Flowchart Skematik

Flowchart Program dan contoh

Flowchart Proses

Contoh Flowchart Proses

Simbol-simbol Flowchart

Simbol-simbol Flowchart

Simbol-simbol Flowchart

Simbol-simbol Flowchart

Simbol-simbol Flowchart

Simbol-simbol Flowchart

Simbol-simbol Flowchart

Analisa Dimensi

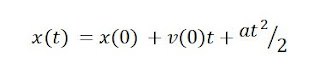
Dimensi dalam fisika menggambarkan sifat fisis dari suatu besaran. Panjang suatu benda, walaupun dapat dinyatakan dalam berbagai satuan, tetap memiliki sifat fisis tertentu, yaitu panjang. Dimensi berkelakuan seperti suatu kuantitas aljabar. Sebagai contoh, kita tidak dapat menjumlahkan panjang sebuah benda dengan periode getaran benda, karena dua besaran tersebut berbeda dimensinya. Tidak ada maknanya menjumlah satu meter dengan satu detik. Hanya dua besaran yang berdimensi sama yang dapat dijumlahkan atau dikurangkan. Dalam sebuah persamaan, dimensi di sisi kiri dan kanan persamaan haruslah sama. Dari prinsip-prinsip ini, kita dapat menggunakan analisa dimensi untuk mengecek kebenaran suatu persamaan fisika. Sebagai contoh bila diberitahukan persamaan jarak tempuh pada percepatan konstan 
Dimensi dari suku-suku di persamaan tersebut

dengan L adalah dimensi panjang, T adalah dimensi waktu, dan M adalah dimensi massa. Tampak jelas bahwa dimensi di ruas kanan sama dengan dimensi di ruas kiri, serta dimensi pada semua suku-suku yang dijumlahkan sama.

Besaran, Satuan, dan Pengukuran

Fisika adalah ilmu yang mempelajari benda-benda dan fenomena yang terkait dengan benda-benda tersebut. Untuk mendeskripsikan keadaan suatu benda atau suatu fenomena yang terjadi pada benda, maka didefinisikan berbagai besaran-besaran fisika. Besaran-besaran fisika ini selalu dapat terukur dan memiliki nilai (dapat dinyatakan dalam angka-angka) yang merupakan hasil pengukuran. Contoh besaran-besaran fisika adalah panjang, jarak, massa, waktu, periode, gaya, kecepatan, temperatur, intensitas cahaya, dan sebagainya. Terkadang nama dari besaran-besaran fisika tadi memiliki kesamaan dengan istilah yang dipakai dalam keseharian, tetapi maknanya dalam Fisika tidak selalu memiliki pengertian yang sama dalam bahasa keseharian. Seperti misalnya istilah gaya, usaha, dan momentum, yang memiliki makna yang berbeda dalam keseharian, misalnya, “Anak itu bergaya di depan kaca”, “Ia berusaha keras menyelesaikan soal ujiannya”, “Momentum perubahan politik sangat tergantung pada kondisi ekonomi negara”. 
Besaran-besaran fisika didefinisikan secara khas, sebagai suatu istilah fisika yang memiliki makna tertentu. Terkadang suatu besaran fisika hanya dapat dimengerti dengan menggunakan bahasa matematik, walau terkadang juga dapat diuraikan dengan bahasa sederhana. Untuk mengetahui nilai dari suatu besaran fisika harus dilakukan pengukuran. Mengukur adalah membandingakan antara dua hal, dengan salah satunya menjadi pembanding atau alat ukur, yang besarnya  harus distandarkan. Ketika mengukur jarak antara dua titik, kita membandingkan jarak dua titik tersebut dengan jarak suatu standar panjang, misalnya panjang tongkat meteran. 
Ketika mengukur berat suatu benda, kita membandingkan berat benda tadi dengan berat benda standar. Singkatnya, dalam mengukur kita membutuhkan suatu standar sebagai pembanding besar sesuatu yang akan diukur. Standar tadi kemudian dinyatakan memiliki nilai satu dan dijadian sebagai acuan satuan tertentu. Walau standar ukur dapat ditentukan sekehendak kita, tetapi tidak ada artinya bila standar tadi tidak sama di seluruh dunia, karena itu perlu diadakan suatu standar internasional agar manusia dapat saling berkomunikasi dalam “bahasa satuan standar yang sama”. Di samping itu, sebuah standar tersebut haruslah praktis dan mudah diproduksi ulang di manapun di dunia ini (atau bahkan di alam semesta) serta tidak bergantung pada kondisi atau keadaan lingkungan tertentu. Sistem standar internasional untuk ukuran saat ini sudah ada, dan dikenal dengan Sistem Internasional (SI). Bersamaan dengan sistem standar, juga terdapat satuan SI untuk setiap besaran fisika. Antara besaran fisika yang satu dengan besaran fisika yang lain, mungkin terdapat hubungan. Untukmemudahkan memahami hubungan-hubungan tersebut, besaran-besaran fisika disimbolkan dengan simbol-simbol (alfabetik), sehingga hubungan antara besaran-besaran fisika ini dapat dinyatakan dengan mudah sebagai persamaan-persamaan matematis. Karena besaran-besaran fisika tersebut ada yang saling terkait, maka ada bebeapa besaran fisika yang dapat dinyatakan dalam kombinasi matematis (perkalian) besaran-besaran fisika yang lain. Sehingga seluruh besaran fisika yang ada dapat dinyatakan dalam beberapa besaran-besaran fisika yang disebut sebagai besaran-besaran dasar. Terdapat tujuh buah besaran dasar fisika (dengan satuannya masing-masing)
1. panjang (meter)
2. massa (kilogram)
3. waktu (sekon)
4. arus listrik (ampere)
5. temperatur (kelvin)
6. jumlah zat (mole)
7. intensitas cahaya (candela)
Besaran-besaran fisika selain besaran-besaran dasar ini, disebut sebagai besaran turunan, yang selalu dapat dinyatakan dalam besara-besaran dasar tadi. Satuan SI untuk panjang adalah meter dan satu meter didefinisikan sebagai jarak yang ditempuh cahaya dalam ruang hampa dalam waktu 1/299792458 detik. Satuan SI untuk waktu adalah sekon dan satu sekon didefinisikan sebagai 9 192 631 770 kali periode transisi tertentu atom Cesium-133 Cs133. Satuan SI untuk massa adalah kilogram, dan satu kilogram didefinisikan sebagai massa sebuah silinder platina iridium yang disimpan di Lembaga Berat dan Ukuran Internasional di Sevres, Prancis. Tetapi selain itu juga terdapat standar massa non SI, yaitu standar massa atom yang diambil berdasarkan massa satu atom karbon-12 C12 yang tepat didefinisikan bermassa 12 dalam satuan massa atom terpadu (amu - atomic mass unit, disingkat u).

Monday, September 21, 2015

Persamaan Keadaan dalam Termodinamika

PERSAMAAN KEADAAN
Di dalam fisika dan termodinamika, persamaan keadaan adalah persamaan termodinamika yang menggambarkan keadaan materi di bawah seperangkat kondisi fisika. Persamaan keadaan adalah sebuah persamaan konstitutif yang menyediakan hubungan matematik antara dua atau lebih fungsi keadaan yang berhubungan dengan materi, seperti temperatur, tekanan, volume dan energi dalam. Persamaan keadaan berguna dalam menggambarkan sifat-sifat fluida, campuran fluida, padatan, dan bahkan bagian dalam bintang.

SISTEM DAN PERSAMAAN KEADAANNYA
Keadaan seimbang mekanis : Sistem berada dalam keadaan seimbang mekanis, apabila resultan semua gaya (luar maupun dalam) adalah nol Keadaan seimbang kimiawi : Sistem berada dalam keadaan seimbang kimiawi, apabila didalamnya tidak terjadi perpindahan zat dari bagian yang satu ke bagian yang lain (difusi) dan tidak terjadi reaksi-reaksi kimiawi yang dapat mengubah jumlah partikel semulanya ; tidak terjadi pelarutan atau kondensasi. Sistem itu tetap komposisi maupun konsentrasinya. Keadaan seimbang termal : sistem berada dalam keadaan seimbang termal dengan lingkungannya, apbiala koordinat-kooridnatnya tidak berubah, meskipun system berkontak dengan ingkungannnya melalui dinding diatermik. Besar/nilai koordinat sisterm tidak berubah dengan perubahan waktu.
Keadaan keseimbangan termodinamika : sistem berada dalam keadaan seimbang termodinamika, apabila ketiga syarat keseimbangan diatas terpenuhi. Dalam keadan demikian keadaan keadaan koordinat sistem maupun lingkungan cenderung tidak berubah sepanjang massa. Termodinamika hanya mempelajari sistem-sistem dalam keadaan demikian. Dalam keadaan seimbang termodinamika setiap sistem tertutup (yang mempunyai massa atau jumlah partikel tetap mis. N mole atau m kg) ternyata dapat digambarkan oleh tiga koordinat dan :  Semua eksperimen menunjukkan bahwa dalam keadaan seimbang termodinamika, antara ketiga koordinat itu terdapat hubungan tertentu : f(x,y,z)=0 dengan kata lain : Dalam keadan seimbang termodinamis, hanya dua diantara ketiga koordinat system merupakan variabel bebas.
Suatu gas disebut gas ideal bila memenuhi hukum gas ideal, yaitu hukum Boyle, Gay Lussac, dan Charles dengan persamaan P.V = n.R.T. Akan tetapi, pada kenyataannya gas yang ada tidak dapat benar-benar mengikuti hukum gas ideal tersebut. Hal ini dikarenakan gas tersebut memiliki deviasi (penyimpangan) yang berbeda dengan gas ideal. Semakin rendah tekanan gas pada temperatur tetap, nilai deviasinya akan semakin kecil dari hasil yang didapat dari eksperimen dan hasilnya akan mendekati kondisi gas ideal. Namun bila tekanan gas tesebut semakin bertambah dalam temperatur tetap, maka nilai deviasi semakin besar sehingga hal ini menandakan bahwa hukum gas ideal kurang sesuai untuk diaplikasikan pada gas secara umum yaitu pada gas nyata atau gas riil.
Gas ideal memiliki deviasi (penyimpangan) yang lebih besar terhadap hasil eksperimen dibanding gas nyata dkarenakan beberapa perbedaan pada persamaan yang digunakan sebagai berikut:
·         Jenis gas
·         Tekanan gas. Ketika jarak antar molekul menjadi semakin kecil, terjadi interaksi antar molekul dimana tekanan gas ideal lebih besar dibanding tekanan gas nyata (Pnyata < Pideal)
·         Volume gas. Dalam gas ideal, volume gas diasumsikan sama dengan volume wadah karena gas selalu menempati ruang. Namun dalam perhitungan gas nyata, volume molekul gas tersebut juga turut diperhitungkan, yaitu: Vriil = Vwadah – Vmolekul
Maka dari itu, perbedaan persamaan pada gas ideal dengan gas nyata dinyatakan dalam faktor daya mampat atau faktor kompresibilitas (Z) yang mana menghasilkan persamaan untuk gas nyata yaitu:
Beberapa asumsi dan eksperimen telah dikembangkan untuk membuat persamaan yang menyatakan hubungan yang lebih akurat antara P, V, dan T dalam gas nyata. Beberapa persamaan gas nyata yang cukup luas digunakan yaitu persamaan van der Waals, persamaan Kammerligh Onnes, persamaan Berthelot, dan persamaan Beattie-Bridgeman.

Thursday, September 17, 2015

Soal Mekanika dengan Metode Lagrangian

Hai semua, post ini adalah post pertama saya. dalam kesempatan ini saya akan kasih contoh soal mekanika yang menggunakan metode lagrangian. Check this out!!!


Soal: Diketahui sistem katrol ganda, dimana satu katrol bergerak bebas. Sistem ini jelas memiliki dua derajat kebebasan. Kita akan menentukan konfigurasi sistem dengan koordinat x dan x. Dalam kasus ini , diabaikan massa dari katrol sehingga dapat menetukan energi kinetik dan potensialnya sebagai berikut :

Jawab: